2. 中国地质调查局沈阳地质调查中心, 辽宁 沈阳 110034;
3. 吉林省地质调查院, 吉林 长春 130061;
4. 内蒙古恒久矿业有限公司, 内蒙 古赤峰 024000
2. Shenyang Institute of Geology and Mineral Resources, CGS, Shenyang 110034, China;
3. Jilin Institute of Geological Survey, Changchun 130061, China;
4. Heng-Jiu Mines Co., Ltd., of Inner Mongolia, Chifeng 024000, Inner Mongolia, China
大座子山铜多金属矿位于内蒙古翁牛特旗毛山东乡油房村东,地理坐标为东经118°22′~118°24′,北纬42°54′~42°57′。1980—1982 年原冶金一公司物探队在本区开展1∶5 万分散流测量时陆续发现大座子山、油房西、二把伙等诸多异常。华北地质勘查局综合普查大队对大座子山铜多金属矿进行了较为详细的勘查工作❶(❶华北地质勘查局综合普查大队.大座子山铜多金属矿储量核实报告[R].2011.)。大座子山铜多金属矿与二把伙和油房西银多金属矿处于同一构造单元,尤其是与油房西银多金属矿仅有苇塘河一河之隔,矿床特征和成矿条件存在相似之处。诸多学者认为该区域矿床与火山-次火山热液作用有关,发育在燕山晚期层状火山岩的岩浆穹窿构造之中,成矿受北西向断裂构造和火山机构双重控制,并在深部发现斑岩型矿床的蚀变特征[1, 2, 3, 4]。
本文以与大座子山成矿密切相关的火山岩为研究对象,通过野外地质和岩相学,岩石地球化学、Sr-Nd 同位素等实验方法,对火山岩的岩浆源区及矿床成因、大地构造背景等问题进行探讨。
1 区域地质概况和岩相学特征研究区处于华北地台北缘温都尔庙—翁牛特旗加里东地槽褶皱带,东西向西拉木伦河深大断裂和少郎河深大断裂之间,敖包梁岩体西侧之西毛卜罗—二把伙背斜的核部。与成矿有关地层为晚侏罗世满克头鄂博组(J3mk)。满克头鄂博组火山岩主要由流纹岩、英安岩、粗安岩、粗面岩及玄武安山岩等组成,通过锆石U-Pb 年代学测定流纹岩的年龄为(156±2)Ma(n=24)[5],学者普遍认为其形成于板块内部造山后的伸展环境[6, 7, 8, 9, 10, 11, 12, 13, 14]。区域内岩浆活动强烈,敖包梁杂岩体是燕山晚期的主要侵入体,是区域内岩浆活动中心,控制着与火山作用有关的矿产形成与分布,由花岗岩、中酸性浅成-超浅成小型斑岩体群构成。本区为东西向古构造体系与NEE、NE向构造体系交汇地区,构造复杂,是找矿的有利地段。其总的构造轮廓是以东西向西拉木伦河断裂为基础格架,中生代构造岩浆活动又在其上叠加了一套NE、NEE向隆起和火山沉积盆地。
勘查区内NW向断裂构造为其控矿和赋矿构造,表现为压性或压扭性破碎带,宽度4~10 m。断层面多呈NE和SW向倾斜,具断层角砾和光滑的断层擦痕。岩浆岩在勘查区内不甚发育,仅在勘查区的北部及南东角有晚侏罗世粗安岩和早白垩世花岗斑岩出露,侵入于满克头鄂博组地层中,受NE向构造体系控制呈NE向展布。矿区围岩蚀变随矿体呈线性展布,主要以绢云母化、硅化、黄铁矿化为主,与成矿关系密切。硅化、绢云母化表现为石英、绢云母呈细粒或鳞片状交代原岩矿物并与金属矿物伴生(图1)。
|
图1 大座子山铜多金属矿综合地质图 (据资料❶(❶华北地质勘查局综合普查大队. 大座子山铜多金属矿储量核实报告[R]. 2011.)修改) Fig.1 Comprehensive geological map of the Dazuozishan copper polymetallic ore deposit (modified after reference❶(❶华北地质勘查局综合普查大队. 大座子山铜多金属矿储量核实报告[R]. 2011.)) |
勘查区内地层主要有上侏罗统满克头鄂博组(J3mk)流纹质晶屑凝灰岩、流纹质火山角砾岩、流纹岩和粗面岩。本次研究采集样品主要为与成矿更为密切相关的流纹岩和粗面岩(图2-a~b)。流纹岩(图2-c)呈斑状结构,基质为微粒结构,斑晶含量2%~5%。矿物成分主要为钾长石,其次为石英,有的斑晶边界被熔蚀呈港湾状。基质由微粒状长英质矿物组成。岩石薄片中见有微细的石英脉及似脉状的方解石。粗面岩(图2-d):呈斑状结构,基质为粗面结构。斑晶主要为斜长石、碱性长石,其次为角闪石和少量黑云母,偶尔见有石英。斑晶斜长石呈半自形-自形晶,柱状或板状,多具较细密的聚片双晶,部分具环带构造,推测为中-更长石。角闪石斑晶多已绿泥石化并析出铁质组分,多以柱状或呈六边形出现。黑云母斑晶数量很少,多已蚀变并析出铁质组分。基质主要由条状斜长石微晶及少量已脱玻化的玻璃质组成,斜长石微晶大致呈定向排列。
|
图2 大座子山流纹岩、粗面岩岩心样品特征和镜下特征 Fig.2 Photographs and microscope photographs of rhyolite and trachyte from the Dazuozishan copper polymetallic ore deposit |
样品DS200-14、15 和DS202-5、6、7、11、18 分别采集于大座子山铜多金属矿钻孔ZK002 和ZK11-2 岩心;样品DS203-1 采集于矿井;DS205-1、DS206-2 采集于大座子山顶;DS207-3 采集于大座子山老平硐。实验均选取新鲜且后期无热液活动的样品,元素后期受蚀变作用影响较小,可以依此讨论火山岩的源区特征、构造环境等相关问题。
样品的主量、微量元素分析在国土资源部东北矿产资源监督测试中心完成。主量元素分析采用压片法X射线荧光光谱法(XRF),分析精度和准确度优于5%;微量元素分析采用电感耦合等离子质谱法(ICP-MS),分析精度和准确度优于10%。
全岩Sr-Nd 同位素分析在北京核工业地质研究院分析测试研究中心采用ISOPROBE-T 热电离质谱计完成,检测方法依据EJ/T692-1992《岩石矿物铷锶等时年龄测定》。Rb、Sr 质量分馏用86Sr/88Sr=0.1194 校正,标准测量结果:NBS987 为86Sr/88Sr=0.710250±7,全实验流程本底为2×10-10 g;Sm、Nd质量分馏用146Nd/144Nd=0.7219 校正,标准测量结果:JMC 为143Nd/144Nd=0.512109±3,全实验流程本底小于5×10-11 g。计算εSr(t)和εNd(t)过程中,(87Sr/86Sr)U.R=0.7045,(87Rb/86Sr)U.R=0.0827;(143Nd/144Nd) CHUR=0.512638,(147Sm/144Nd)CHUR=0.1967。计算TDM 过程中,(143Nd/144Nd)DM和(147Sm/144Nd)DM分别为亏损地幔现今的同位素比值,用大洋中脊玄武岩(MORB)代表,其值采用(143Nd/144Nd)DM=0.51315,(147Sm/144Nd)DM=0.2135[15]。
3 实验结果和分析 3.1 主量元素大座子山铜多金属矿流纹岩、粗面岩(图3-a)主量元素特征见表1。流纹岩以高硅(SiO274.93%~76.36%,平均75.63%)、富碱((Na2O+K2O)8.19%~8.67%,平均8.43%)、低铝(Al2O311.22%~11.70%)、低镁(MgO 0.004%~0.065%)、低钙(CaO 0.20%~0.39%)为特征。K2O/Na2O值为在1.29~1.54,较为富钾;TiO2含量为0.19%~0.22%,属低Ti 流纹岩类[8, 16]。需要指出是,大座子山粗面岩较为特殊,较其他粗面岩更加偏酸性,但根据CIPW标准矿物计算结果,石英Q含量均低于20%,并且镜下长石具定向排列特征,因此将该火山岩定名为粗面岩是可靠的。粗面岩SiO2含量65.52%~68.04%,平均66.55%;Al2O3含量较高,在15.05%~16.38%;碱质(Na2O+K2O)含量为8.80%~10.20%,K2O/Na2O 比值为0.85~1.64。流纹岩A/CNK在0.94~1.06,粗面岩A/CNK在0.92~1.08,两种岩石均属于准铝-弱过铝系列。流纹岩在SiO2-K2O图解上位于高钾钙碱性系列区,粗面岩位于高钾钙碱性-钾玄岩系列(图3-b)。流纹岩岩石分异程度较高,DI 指数为92.93~95.46;粗面岩分异程度较流纹岩低,DI指数为81.36~88.48。
|
图3 大座子山铜多金属矿火山岩TAS分类图解(a)[17]、SiO2-K2O 图解(b)[18] Fig.3 TAS volcanic rock classification diagram (a) [17] and SiO2-K2O diagram (b) [18] of volcanic rocks from the Dazuozishan copper polymetallic ore deposit |
| 表1 大座子山铜多金属矿区流纹岩、粗面岩主量元素含量(%) Table 1 Major element compositions of rhyolite and trachyte from the Dazuozishan copper polymetallic ore deposit(%) |
在原始地幔标准化配分图解上(图4-a),流纹岩、粗面岩微量元素分布呈现整体右倾形态。粗面岩富集Rb、Ba、Th、U、K、La 等大离子亲石元素(LILE),亏损Nb、Ta、P、Ti 等高场强元素(HFSE);流纹岩同样富集Rb、Th、U、K、La 等大离子亲石元素,但是Ba 强烈亏损,Sr、P、Ti 含量与原始地幔相当,部分样品甚至略低于原始地幔值,除Ba、Sr、P、Eu、Ti 明显低于粗面岩外,流纹岩其他微量元素含量均与粗面岩相当,且趋势呈高度的正相关性,暗示其为同一物质熔融的产物[20]。
|
图4 大座子山铜多金属矿流纹岩、粗面岩微量元素原始地幔标准化配分图(a)和稀土元素球粒陨石标准化配分图(b)(标准值 据文献[21]) Fig.4 Primitive mantle-normalized trace element patterns (a) and chondrite-normalized REE patterns (b) of rhyolite and trachyte from the Dazuozishan copper polymetallic ore deposit (chondrite and primitive mantle normalized data after reference [21]) |
大座子山铜多金属矿流纹岩、粗面岩微量元素含量见表2。在球粒陨石标准化图解上(图4-b)呈显著右倾趋势,轻稀土明显富集,LREE/HREE 为16.09~20.57。流纹岩稀土总量ΣREE为365.0×10-6~506.0×10-6,δ Eu为0.094~0.137,强烈Eu负异常,δ Ce为0.603~0.801,呈弱负异常;粗面岩稀土总量较流纹岩低,ΣREE 为177.9 × 10- 6~254.8 × 10- 6,δ Ce 为0.701~0.766,但是Eu 显示弱正异常,δ Eu 值在0.948~1.556,印证了分异指数较低,残留相斜长石较少,并且与残留相中的角闪石、紫苏辉石和石榴石有密切关系。两种岩石稀土元素配分曲线趋势除了Eu以外呈高度相关,表明两者存在一定的演化关系。
从流纹岩的岩石学和主量、微量元素特征分析,应为大兴安岭中生代两类流纹岩中的Ⅱ型流纹岩[9]、低Ti 流纹岩[8],与Ⅰ型花岗岩(低Ti 流纹岩)相比,高K2O,低CaO、MgO;Rb 含量极高,Ba、Sr 元素强烈亏损,具高Rb/Sr 比值,并具有强烈的Eu 负异常。此类流纹岩具有与大陆裂谷流纹岩一致的不相容元素和稀土元素分布模式,并与碱性系列玄武岩类构成地球化学双峰式火山岩组合。
| 表2 大座子山铜多金属矿区流纹岩、粗面岩微量元素、稀土元素含量(10-6) Table 2 Trace element and REE compositions of rhyolite and trachyte from the Dazuozishan copper polymetallic ore deposit(10-6) |
杨扬等对赤峰地区晚侏罗世满克头鄂博组(J3mk)流纹岩和粗安质熔结凝灰岩进行了锆石UPb测年,其结果分别为(156±2)Ma(n=24)和(157±3)Ma(n=19)[5],大座子山铜多金属矿流纹岩与杨扬选取的流纹岩属同期火山岩,且岩石学特征非常相近,因此以155 Ma作为大座子山铜多金属矿火山岩体的主成岩年龄,来计算粗面岩、流纹岩的Sr、Nd同位素初始比值及相关参数。本文所研究火山岩的fSm/Nd 平均在- 0.5 左右,而且147Sm/144Nd 比值小于0.13,因此对Sm-Nd 同位素模式年龄TDm的计算采用单阶段模式[22]。
大座子山铜多金属矿粗面岩、流纹岩Sr-Nd同位素组成和测定结果和计算结果见表3。流纹岩现今的87Rb/86Sr(20.3823~23.5431)、87Sr/86Sr(0.7496~0.7583)远高于粗面岩的87Rb/86Sr(0.7623~3.2751)、87Sr/86Sr(0.7068~0.7134),2 种岩石极高的87Rb/86Sr 比值(全球平均0.09)显示了该区域成熟大陆壳的特征;而2 种岩石147Sm/144Nd(0.0883~0.1081)、143Nd/144Nd(0.5120~0.5123)现今比值较为接近。两种岩石具有类似的(87Sr/86Sr)i和(143Nd/144Nd)i初始比值,分别介于0.7046~0.7063 和0.5119~0.5122(t=155Ma),εNd(0)为-6.20~ -12.17,εNd(t)为-4.24 ~ -10.37。fSm/Nd在-0.450~ -0.552,2种火山岩均显示具有大陆岩石圈特征[23]。Nd同位素模式年龄TDM为1090~1597 Ma。
| 表3 大座子山铜多金属矿区粗面岩、流纹岩Sr-Nd同位素分析结果 Table 3 Sr-Nd isotopic composition of rhyolite and trachyte from the Dazuozishan copper polymetallic ore deposit |
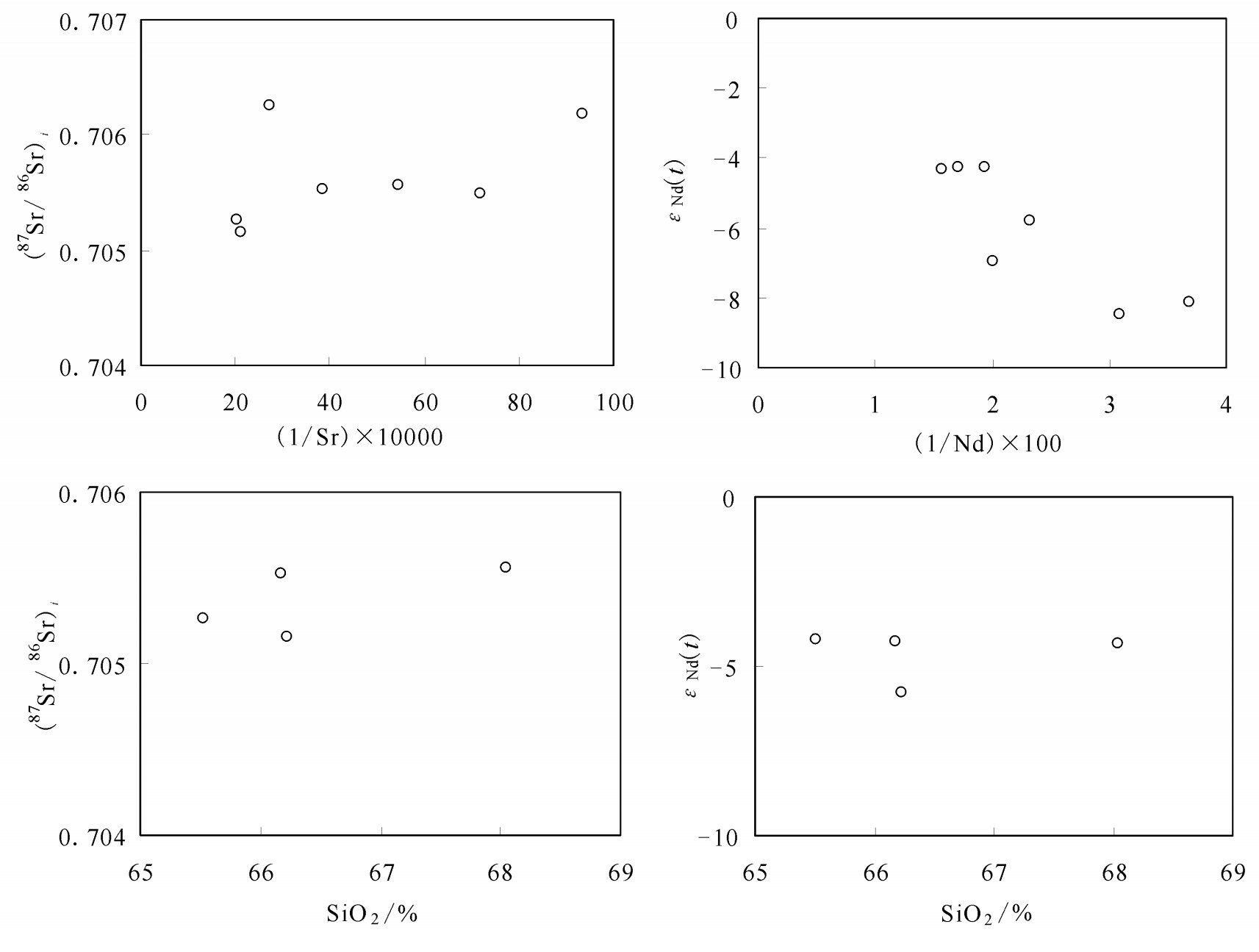
为了讨论大座子山铜多金属矿火山岩岩浆源区的特征,首先要排除岩浆在上升侵位过程中的同化混染作用。岩浆演化过程中的结晶分异作用对Sr同位素组成影响很小,因此若岩浆受到其他物质混染作用,(87Sr/86Sr)i 与1/Sr、εNd(t) 与1/Nd 会呈正相关关系[24]。大座子山粗面岩在(87Sr/86Sr)i-1/Sr 和εNd(t)-1/Nd 协变图解上(图5-a~b),(87Sr/86Sr)i、εNd(t)不随1/Sr、1/Nd 发生变化;在(87Sr/86Sr)i-SiO2 和εNd(t)-SiO2协变图解上(图5-c~d),(87Sr/86Sr)i和εNd(t)不与SiO2呈线性关系,表明粗面岩的初始岩浆在上升侵位过程中没有经受明显的同化混染作用,因此可以用粗面岩的主量元素、微量元素、Sr-Nd同位素组成来示踪岩浆源区特征。
|
图5 大座子山粗面岩(87Sr/86Sr)i-1/Sr(a)、εNd(t)-1/Nd(b)及(87Sr/86Sr)i、εNd(t)-SiO2(c、d)相关图解 Fig.5 diagrams of (87Sr/86Sr)i-1/Sr(a) , εNd(t)-1/Nd(b), (87Sr/86Sr)i and εNd(t)-SiO2 (c and d) of trachyte from the Dazuozishan copper polymetallic ore deposit |
大座子山铜多金属矿流纹岩、粗面岩轻重稀土分异强烈,富集Rb、Ba(流纹岩微弱富集)、Th、U、K、La 等大离子亲石元素(LILE),亏损Nb、Ta、P、Ti等高场强元素(HFSE),流纹岩强烈Eu负异常,粗面岩Eu 轻微正异常,Eu 正异常往往是地壳加厚的指示[25],表明地壳在早期可能经历了一个垂直方向增生的过程。上文讨论火山岩形成于石榴子石稳定的榴辉岩相或者石榴子石-斜长角闪岩相的源区,源区残留大量石榴子石而斜长石较少,该特征暗示了火山岩可能起源于增厚的下地壳物质的部分熔融[26, 27]。据国外学者研究,比安山岩更加偏酸性的岩石无法由地幔直接熔融形成[28],而流纹质、粗面质岩浆能够通过下地壳熔融生成。葛文春等[9]将大兴安岭中生代流纹岩,划分为2 种类型,Ⅰ型流纹岩为钙碱性玄武岩岩浆结晶分异的产物,Ⅱ型流纹岩为下地壳斜长角闪岩非理想熔融的产物。前文通过分析主量、微量元素特征,大座子山流纹岩属葛文春分类的Ⅱ型流纹岩。从Sr-Nd 同位素分析结果看,流纹岩、粗面岩具有类似的(87Sr/86Sr)i初始比值和(143Nd/144Nd)i 初始比值,分别介于0.7046~0.7063 和0.5119~0.5122(t=155 Ma),在(87Sr/86Sr)i-(143Nd/144Nd)i相关图上(图6)位于EMⅠ富集地幔端元之上的下地壳趋势右侧,表明岩浆来源极大可能是下地壳的重熔,εNd(0)为-6.20~ -12.17,远低于原始地幔值;εNd(t)为-4.24 ~ -10.37,fSm/Nd参数在-0.450~ -0.552,结果均为负值,反映了火山岩的陆壳成因环境,成岩物质来自于下地壳。物探资料基本证实了大兴安岭地区下地壳下部主要为铁镁质等基性岩[29],加之流纹岩、粗面岩具有极为相似的微量元素特征,笔者推测大座子山铜多金属矿流纹岩、粗面岩可能同为存留于中元古界下地壳的斜长角闪岩类经重熔作用而形成,而流纹岩Ba、Sr 较粗面岩具明显亏损,暗示流纹岩岩浆发生的斜长石分离结晶作用较粗面岩更强[30, 31, 32, 33]。
|
图6 大座子山铜多金属矿粗面岩(87Sr/86Sr)i-(143Nd/144Nd)i相关 图(底图据文献[34]) MORB— 洋中脊玄武岩;OIB— 洋岛玄武岩;Japan— 日本Aso 和 Towada 岛弧火山岩;Banda— 印度尼西亚岛弧玄武岩;Peru 和N. Chile—大陆边缘弧玄武岩;DMM—亏损MORB地幔;EMⅠ和EMⅡ 分别为两个富集地幔端员 Fig.6 Diagram of (87Sr/86Sr)i versus (143Nd/144Nd)i of trachyte from the Dazuozishan copper polymetallic ore deposit(base map after reference [34]) |
将大兴安岭南段大座子山、小东沟、碾子沟、鸡冠山、车户沟这5 个典型铜钼矿床岩体Sr-Nd 同位素特征加以对比:矿床同处于西拉木伦断裂以南,赤峰—开源断裂以北,嫩江断裂以西;该区域岩体多为中生代火山岩和沉积岩,局部有中生代—古生代花岗质侵入岩;断裂多受北东向和东西向构造控制。从成岩年代学来看,大座子山、碾子沟和鸡冠山成岩年代均在155 Ma左右,其成岩作用属同一期岩浆作用;大座子山Sr-Nd 同位素特征与碾子沟、鸡冠山岩体特征相近,均属“鸡冠山式”矿床类型,成岩物质均来自于地壳,并且大座子山和碾子沟成岩物质均来自于下地壳(表4,图7)。
| 表4 大兴安岭南段典型矿床同位素组成、成岩年代对比 Table 4 Correlation of typical deposits isotopic composition and diagenetic age in the southern section of the Da Hinggan Mountains |
|
图7 大兴安岭南段Sr-Nd同位素组成对比图解 DM—亏损地幔;MORB—洋脊玄武岩;OIB—洋岛玄武岩;PM—原始地幔 Fig.7 Sr-Nd isotopic contrast diagram of the southern part of the Da Hinggan Mountains |
邵济安等对大兴安岭中南段中生代不同阶段岩浆活动进行了分析,提出了早—中侏罗世辉绿岩岩墙侵入、地壳伸展,晚侏罗世粗面质岩浆喷发,早白垩世非造山碱性花岗岩侵位的火山岩成因模式[40]。该模式在本研究区得到体现和验证,其形成的演化过程可归纳为:在侏罗—白垩世火山盆岭阶段的构造运动影响下,中侏罗世地壳底部存在大面积的底侵作用,底侵杂岩体(可能为存留于中元古界下地壳的斜长角闪岩类),地壳在垂直方向增生。在拆沉作用下,晚侏罗世下地壳重熔形成的粗面质岩浆喷发,分离结晶形成粗面岩;早白垩世粗面质岩浆经结晶分异形成流纹岩。
4.2 大地构造背景及演化大兴安岭南段地区处于多块体拼合的特殊地质构造中,随着近年来该地区大型、超大型矿床的发现,其中生代火山岩形成的大地构造背景及后期构造演化一直是该区研究的热点问题之一。大座子山铜多金属矿位于大兴安岭南段华北地台北缘温都尔庙—翁牛特旗加里东地槽褶皱带,东西向西拉木伦河深大断裂和少郎河深大断裂之间,矿区流纹岩、粗面岩形成于大兴安岭南段晚侏罗—早白垩世火山盆岭阶段,该期是大兴安岭南段构造和岩浆作用的鼎盛时期,奠定了本区构造与火山岩带的基本格局[10]。
目前学者们对大兴安岭南段中生代中晚期火山岩形成于板块内部伸展环境的认识基本达成一致,邵济安等认为该地区岩浆的形成和演化与板内伸展环境下的底侵作用有关[41];林强、葛文春等提出了张性环境是与地幔柱的上涌而导致上覆岩石圈伸展有关[8, 9];张宏等虽然认为是后造山期挤压背景中“减压-剪切”环境中形成的,但是他强调了挤压背景下的“减压作用”,并暗示了它可能进一步发展为“拉张”作用[42];吕志成等提出了此伸展环境可能与南蒙古—兴安造山带北缘蒙古—鄂霍次克残余洋在中生代的“剪刀式”闭合和南蒙古—兴安造山带南缘内蒙—吉黑坳拉槽在中生代的闭合作用有关[11]。现有资料表明,大座子山火山岩形成于晚侏罗世约156 Ma;太平洋板块是从晚白垩世进入大规模扩张阶段[43],而蒙古—鄂霍次克海是于中晚侏罗世闭合,155~145 Ma是蒙古—鄂霍次克海闭合的后造山伸展环境[44];另外蒙古—鄂霍次克海闭合作用是由西向东方向[45],其构造运动影响了板块环境致使内部压力减小,因此本文推断该区域晚侏罗世的伸展环境与蒙古—鄂霍次克海的闭合作用有关,而与太平洋闭合作用无关。
大座子山铜多金属矿流纹岩以富碱(Na2O+K2O含量为8.19%~8.67%)、低铝(Al2O3含量为11.22%~11.70%)、低钙(CaO 含量0.20%~0.39%),K2O/Na2O较高且较为富钾。流纹岩在Rb-(Y+Nb)图解上投点在板内花岗岩和后碰撞花岗岩交叠区域(图8-a),在R1-R2图解上投点在非造山期和造山期后区域(图8-b)。由此推断,大座子山铜多金属矿含矿围岩形成的构造环境是造山期后伸展条件的板内环境,即在晚侏罗世150~160 Ma受到了蒙古—鄂霍次克海“剪刀式”闭合造山后的伸展条件和岩石圈减薄作用的影响,由存留于中元古界下地壳的斜长角闪岩类熔融而形成的一套高钾钙碱性-钾玄岩系列火山岩。另外,流纹岩极低的Ba/Nb 比值(0.18~0.85)明显不同于岛弧火山岩的特征(Ba/Nb>30),表明其成因与同时代的俯冲作用无关,同时也证明了上文讨论的火山岩的来源是陆壳物质的重熔[34]。
|
图8 大座子山流纹岩构造环境判别图解(底图据文献[46, 47]) ORG—洋中脊花岗岩;Syn—COLG-同碰撞花岗岩;VAG—火山弧花岗岩;WPG—板内花岗岩,post—COLG-后碰撞花岗岩; 1—地幔分离(斜长花岗岩);2—破坏性活动板块边缘(板块碰撞前)花岗岩;3—板块碰撞后隆起期花岗岩;4—晚造山期花岗岩; 5—非造山期A型花岗岩;6—同碰撞S 型花岗岩;7—造山期后A型花岗岩;R1=[4Si-11(Na+K)-2(Fe+Ti)];R2=(Al+2Mg+6Ca) Fig.8 Discrimination diagram for tectonic settings of rhyolite from the Dazuozishan copper polymetallic ore deposit (base map after references [46, 47]) |
在前人的研究成果基础上[6, 7, 10, 14, 34, 40, 41],结合本区地质现象、岩石地球化学特征,笔者可以推断区域上的构造演化过程:在造山作用期后软流圈隆起的背景下,地壳底部存在大面积的底侵作用,底侵的斜长角闪岩类和上涌的软流圈地幔分别为该区火山岩的形成提供了物质来源和热源。地壳经历了一个垂直方向增生的过程,加厚的下地壳压着岩石圈地幔经过拆沉作用一起拆沉至软流圈地幔,并在软流圈地幔提供的热源条件下发生了重熔作用。当下地壳岩浆不断积累,岩石经过拆沉而逐渐减薄,断陷盆地范围急剧扩大,伴有强烈的火山喷发,造成了岩石圈伸展而减薄,形成了典型的火山盆岭结构。
5 结论大座子山铜多金属矿流纹岩以高硅、高钾、低钛为特征,属高钾钙碱性系列;粗面岩高钾,属高钾钙碱性-钾玄岩系列。流纹岩、粗面岩εNd(t)值为-4.24 ~ -10.37,同为存留于中元古界下地壳的斜长角闪岩类经重熔作用而形成。
大座子山铜多金属矿流纹岩、粗面岩形成的构造环境是造山期后伸展条件的板内环境,即在晚侏罗世150~160 Ma 受到了蒙古—鄂霍次克海“剪刀式”闭合造山后的伸展条件和岩石圈减薄作用的影响,由存留于中元古界下地壳的斜长角闪岩类熔融而形成的一套高钾钙碱性-钾玄岩系列的火山岩。
| [1] | 朱向东,梁立民, 唐谷清, 等. 内蒙古翁牛特旗二把伙银矿地质特征及成矿作用初探[J]. 矿产与地质, 2007, 21(2): 145-147. Zhu Xiangdong, Liang Liming, Tang Guqing, et al. Initial discussion on geological characteristics of the Erbahuo silver deposit of Wengniute Inner Mongolia and its mineralization[J]. Mineral Resources and Geology, 2007, 21(2): 145-147(in Chinese with English abstract).( 1) |
| [2] | 郝国强. 内蒙古翁牛特旗二把伙银多金属矿区地质特征及找矿前景分析[J]. 矿产与地质, 2009, 23(3): 238-242. Hao Guoqiang. Analysis of ore prospecting potential and geological character of Ag polymetallic ore deposit of Erbahuo, Wengniuteqi, Neimongu Province[J]. Mineral Resources and Geology, 2009, 23(3) : 238-242(in Chinese with English abstract).( 1) |
| [3] | 吕增尧. 内蒙古克什克腾旗油房西矿区钼矿找矿潜力分析[J].地质找矿论丛, 2012, 27(2): 174-179. Lv Zengyao. Analysis of potential for molybdenum at Youfangxi area Keshenketengqi, Inner Mongolia[J]. Contributions to Geology and Mineral Resources Research, 2012, 27(2): 174-179 (in Chinese with English abstract).( 1) |
| [4] | 王国政, 张金良, 田振召, 等. 内蒙古油房西银多金属矿床地质特征及成因探讨[J].矿产与地质, 2012(2): 101-108. Wang Guozheng, Zhang Jinliang, Tian Zhenzhao, et al. Geological characteristics and genesis of silver polymetallic deposit in Youfangxi, Inner Mongolia[J]. Mineral Resources and Geology, 2012, 26(2): 101-108(in Chinese with English abstract).( 1) |
| [5] | 杨扬, 高福红, 陈井胜, 等. 赤峰地区中生代火山岩锆石U-Pb 年代学证据[J].吉林大学学报(地球科学版), 2012, 42(增刊2): 257-268. Yang Yang, Gao Fuhong, Chen Jingsheng, et al. Zircon U-Pb ages of Mesozoic volcanic rocks in Chifeng area[J]. Journal of Jilin University(Earth Science Edition), 2012, 42(Supp.2): 257-268(in Chinese with English abstract).( 3) |
| [6] | 邵济安, 臧绍先, 牟保磊, 等. 造山带的伸展构造与软流圈隆起 -以兴蒙造山带为例[J]. 科学通报, 1994, 39(6): 533-537. Shao Ji'an, Zang Shaoxian, Mu Baolei, et al. Extention of orogenic belts and upwelling of asthenosphere: The example of Hinggan-Mongolian orogenic belt[J]. Chinese Science Bulletin, 1995, 40(1): 50-56.( 2) |
| [7] | 吴福元, 孙德有, 张广良, 等. 论燕山运动的深部地球动力学本质[J]. 高校地质学报, 2000, 6(3): 379-388. Wu Fuyuan, Sun Deyou, Zhang Guangliang, et al. Deep geodynamics of Yanshanian Movement[J]. Geological Journal of China Universities, 2000, 6(3): 379-388(in Chinese with English abstract).( 2) |
| [8] | 林强, 葛文春, 孙德有, 等. 大兴安岭中生代两类流纹岩与玄武岩的成因联系[J].长春科技大学学报, 2000, 30(4): 322-328. Lin Qiang, Ge Wenchun, Sun Deyou, et al. Genetic relationships between two types of Mesozoic rhyolite and basalts in great Xingan ridge[J]. Journal of Changchun University of Science and Technology, 2000, 30(4): 322-328(in Chinese with English abstract).( 4) |
| [9] | 葛文春, 林强, 孙德有, 等.大兴安岭中生代两类流纹岩成因的地球化学研究[J].地球科学-中国地质大学学报, 2000, 25(2): 172-178. Ge Wenchun, Lin Qiang, Sun Deyou, et al. Geochemical research into origins of two types of Mesozoic rhyolites in Daxing'anling[J]. Earth Science-Journal of China University of Geosciences, 2000, 25(2): 172-178 (in Chinese with English abstract).( 4) |
| [10] | 王京彬, 王玉往, 王莉娟, 等.大兴安岭南段中生代伸展成矿系统[J]. 矿床地质, 2002, 21(增刊): 241-244. Wang Jingbin, Wang Yuwang, Wang Lijuan, et al. Mesozoic extension-metallogenic system in suthern part of Da Hinggan Mountains, China[J]. Mineral Deposits, 2002, 21(Supp.): 241-244 (in Chinese with English abstract).( 3) |
| [11] | 吕志成, 段国正, 郝立波, 等.大兴安岭中南段中生代中基性火山岩岩石学地球化学研究[J].高校地质学报, 2004, 10(2): 186-198. Lv Zhicheng, Duan Guozheng, Hao Libo, et al. Petrological and geochemical studies on the intermediate-basic volcanic rocks from the middle-south part of the Da Hinggan Mountains[J]. Geological Journal of China Universities, 2004, 10(2): 186-198 (in Chinese with English abstract).( 2) |
| [12] | 高晓峰, 郭锋, 范蔚茗, 等. 南兴安岭晚中生代中酸性火山岩的岩石成因[J]. 岩石学报, 2005, 21(3): 727-748. Gao Xiaofeng, Guo Feng, Fan Weiming, et al. Origin of late Mesozoic intermediate-felsic volcanic rocks from the northern Da Hinggan Mountain, NE China[J]. Acta Petrologica Sinica, 2005, 21(3): 737-748(in Chinese with English abstract).( 1) |
| [13] | 刘伟, 潘小菲, 谢烈文, 等. 大兴安岭南段林西地区花岗岩类的源岩: 地壳生长的时代和方式[J]. 岩石学报, 2007, 23(2): 441-460. Liu Wei, Pan Xiaofei, Xie Liewen, et al. Sources of material for the Linxi granitoids, the southern segment of the Da Hinggan Mts.: When and how continental crust grew?[J]. Acta Petrologica Sinica, 2007, 23(2): 441-460(in Chinese with English abstract).( 1) |
| [14] | 郭锋, 范蔚茗, 王岳军, 等. 大兴安岭南段晚中生代双峰式火山作用[J]. 岩石学报, 2001, 17(1): 161-168. Guo Feng, Fan Weiming, Wang Yuejun, et al. Petrogenesis of the late Mesozoic bimodal volcanic rocks in the southern Da Hinggan Mts, China[J]. Acta Petrologica Sinica, 2001, 17(1): 161-168(in Chinese with English abstract).( 2) |
| [15] | Jacobsen S B, Wasserbury G J. Sm-Nd isotopic evolution of chondrites and achondrites, Ⅱ[J]. Earth Planet. Sci. Lett, 1984, 67: 137-150.( 1) |
| [16] | Riley T R, Leat P T, Pankhurst R J, et al. Origins of large volume rhyolitic volcanism in the Antarctic Peninsula and Patagonia by crustal melting[J]. Journal of Petrology, 2001, 42 (6): 1043-1065.( 1) |
| [17] | Le Bas M J, Le Maitre R W, Streckeisen A, et al. A chemical classification of volcanic rocks based on the total alkali-silica diagram[J]. Journal of Petrology, 1986, 27: 745-750.( 2) |
| [18] | Peccerillo R, Taylor S R. Geochemistry of Eocene calc-alkaline volcanic rocks from the Kastamonu area, northern Turkey[J]. Contrib.Mineral.petrol, 1976, 50: 63-81.( 2) |
| [19] | Thornton C, Tuttle O. Chemistry of igneous rocks, part1: Differentiation index.American[J]. Journal of Science, 1960, 280: 664-684.( 1) |
| [20] | 孟凡超, 刘嘉麒, 李明, 等. 松辽盆地徐家围子营城组流纹岩地球化学特征及构造指示意义[J]. 岩石学报, 2010, 26(1): 227-241. Meng Fanchao, Liu Jiaqi, Li Ming, et al. Geochemistry and tectonic implications of rhyolites from Yingcheng Formation in Xujiaweizi, Songliao Basin[J]. Acta Petrologica Sinica, 2010, 26 (1): 227-241(in Chinese with English abstract).( 1) |
| [21] | Sun S S, McDonough W F. Chemical and isotopic systematics of oceanic basalts: Implications for mantle composition and processes[C]//Saunders A D, Norry M J (eds.). Magmatism in Oceanic Basins. Geological Society Special Publication, 1989, 42: 313-345.( 2) |
| [22] | Li X H, McCulloch M T. Secular variation in the Nd isotopic composition of Neoproterozic sediments from the southern margin of the Yangtze block: Evidence for a Proterozoic continental collision in southeasr China[J]. Precambrian Research, 1996, 76: 67-76.( 1) |
| [23] | 刀艳, 李峰, 王蓉, 等. 滇西九顶山铜钼矿花岗斑岩成因: LAICP-MS锆石U-Pb年龄、岩石地球化学和Sr-Nd-Hf同位素制约[J]. 中国地质, 2015, 42(1): 134-148. Dao Yan, Li Feng, Wang Rong, et al. Petrogenesis of the granite porphyry related to the Jiudingshan Cu-Mo deposit in western Yunnan: Constraints from LA-ICP-MS zircon U-Pb chronology, Sr-Nd-Hf isotopes and petrogeochemistry[J]. Geology in China, 2015, 42(1): 134-148(in Chinese with English abstract).( 1) |
| [24] | Briqueu L, Lancelot J R. Nd-Sr systematics and crustal contamination models for calc-alkeline igneous rocks[J]. Earth Planet. Sci. Lett, 1979, 43: 385-396.( 1) |
| [25] | 邓晋福, 邱瑞照, 肖庆辉, 等. 对流地幔输入大陆与大陆成矿作用[J].矿床地质, 2004, 21(增刊): 24-31. Deng Jinfu, Qiu Ruizhao, Xiao Qinghui, et al. Input of material and heat from convective mantle into continent and continental metallogenesis[J]. Mineral Deposits, 2004, 21(Supp.): 24-31 (in Chinese with English abstract).( 1) |
| [26] | Defant M J, Drummond M S. Derivation of some modem arc magmas by melting of young subducted lithosphere[J]. Nature, 1990, 347: 662-665.( 1) |
| [27] | Atherton M P, Petford N. Generation of sodium rich magmas from newly underplated hasaltic crust[J]. Nature, 1993, 362: 144-146.( 1) |
| [28] | Wyllie P J. Effects of H2O and CO2 on magma generation in the crust and mantle[J]. Journal of the Gelogical Society, 1977, 134: 215-234.( 1) |
| [29] | 许文良, 孙德有, 周燕, 等. 满洲里-绥芬河地学断面岩浆作用和地壳结构[M]. 北京地质出版社, 1994: 1-94. Xu Wenliang, Sun Deyou, Zhou Yan, et al. The Magmatism and Crustal Structure of Geoscience Transect, Manzhouli-Suifenhe, 444 中国地质2016年 China[M]. Beijing: Geological Publishing House, 1994: 1-94(in Chinese).( 1) |
| [30] | 隋振民, 徐学纯. 大兴安岭东北部侏罗纪花岗岩类Sr-Nd 同位素特征及其地质意义[J].中国地质, 2010, 37(1): 48-55. Sui Zhenmin, Xu Xuechun. Sr-Nd isotopic characteristics of Jurassic granites in northeastern Da Hinggan Mountains and their geological implications[J]. Geology in China, 2010, 37(1): 48-55(in Chinese with English abstract).( 1) |
| [31] | 徐璐璐, 柴凤梅, 李强, 等. 东天山沙泉子铁铜矿区火山岩地球化学特征、锆石U-Pb 年龄及地质意义[J].中国地质, 2014, 41 (6): 1771-1790. Xu Lulu, Chai Fengmei, Li Qiang, et al. Geochemistry and zircon U-Pb age of volcanic rocks from the Shaquanzi Fe-Cu deposit in East Tianshan Mountains and their geological significance[J]. Geology in China, 2014, 41(6): 1771-1790(in Chinese with English abstract).( 1) |
| [32] | 郭文铂, 郑文宝, 唐菊兴, 等. 西藏甲玛铜多金属矿床流体、成矿物质来源的地球化学约束[J]. 中国地质, 2014, 41(2): 510-528. Guo Wenbo, Zheng Wenbao, Tang Juxing, et al. Geochemical constraints on the source of metallogenic fluids and materials in the Jiama polymetallic Cu deposit, Tibet[J]. Geology in China, 2014, 41(2): 510-528(in Chinese with English abstract).( 1) |
| [33] | 郭志军, 李进文, 黄光杰, 等. 内蒙古红花尔基白钨矿矿床赋矿花岗岩Sr-Nd-Pb-Hf 同位素特征[J].中国地质, 2014, 41(4): 1226-1241. Guo Zhijun, Li Jinwen, Huang Guangjie, et al. Sr-Nd-Pb-Hf isotopic characteristics of ore-bearing granites in the Honghuaerji scheelite deposit, Inner Mongolia[J]. Geology in China, 2014, 41 (4): 1226-1241(in Chinese with English abstract).( 1) |
| [34] | 邵济安, 张履桥, 牟保磊, 等. 大兴安岭中生代伸展造山过程中的岩浆作用[J]. 地学前缘, 1999, 6(4): 339-346. Shao Ji'an, Zhang Lvqiao, Mu Baolei, et al. Magmatism in the Mesozoic extending orogenic process of Da Hinggan Mts.[J]. Earth Science Frontiers, 1999, 6(4): 339-346(in Chinese with English abstract).( 4) |
| [35] | 张作伦, 曾庆栋, 屈文俊, 等. 内蒙碾子沟钼矿床辉钼矿Re-Os 同位素年龄及其地质意义[J]. 岩石学报, 2009, 25(1): 212-218. Zhang Zuolun, Zeng Qingdong, Qu Wenjun, et al. The molybdenlte Re-Os dating from the Nianzigou Mo deposit, Inner Mongolia and its geological significance[J]. Acta Petrologica Sinica, 2009, 25(1): 212-218(in Chinese with English abstract).( 1) |
| [36] | 张连昌, 吴华英, 相鹏, 等. 中生代复杂构造体系的成矿过程与成矿作用-以华北大陆北缘西拉木伦钼铜多金属成矿带为例[J].岩石学报, 2010, 26(5): 1351-1362. Zhang Lianchang, Wu Huaying, Xiang Peng, et al. Ore-forming processes and mineralization of complex tectonic system during the Mesozoic: A case from Xilamulun Cu-Mo metallogenic belt[J]. Acta Petrologica Sinica, 2010, 26( 5): 1351-1362.( 1) |
| [37] | Wu Huaying, Zhang Lianchang, Wan Bo, et al. Re-Os and 40Ar/ 39Ar ages of the Jiguanshan porphyry Mo deposit, Xilamulun metallogenic belt , NE China, and constraints on mineralization events[J]. Mineralium Deposita, 2011, 46(2): 171-185.( 1) |
| [38] | Zeng Qingdong, Liu Jianming, Zhang Zuolun, et al. Geologic, fluid inclusion and sulfur isotopic studies of the Chehugou porphyry molybdenum-copper deposit, Xilamulun metallogenic belt, NE China[J]. International Geology Review, Resource Geology, 2011 61(3): 241-258.( 1) |
| [39] | 覃锋, 刘建明, 曾庆栋, 等. 内蒙古小东沟斑岩型钼矿床的成矿时代及成矿物质来源[J]. 现代地质, 2008, 22(2): 173-180. Qin Feng, Liu Jianming, Zeng Qingdong, et al. The metallogenic Epoch and source of ore-forming materials of the Xiaodonggou porphyry molybdenum deposit, Inner Mongolia[J]. Geoscience, 2008, 22(2): 173-180(in Chinese with English abstract).( 1) |
| [40] | 邵济安, 张履桥, 牟保磊, 等. 大兴安岭中南段中生代的构造热演化[J]. 中国科学(D辑), 1998, 28(3): 193-200. Shao Ji'an, Zhang Lvqiao, Mu Baolei, et al. Tectono-thermal evolution of middle-south section of the Da Hinggan Mountains[J]. Science in China(ser.D), 1998, 41(6): 570-579.( 2) |
| [41] | 邵济安, 刘福田, 陈辉, 等. 大兴安岭-燕山晚中生代岩浆活动与俯冲作用关系[J]. 地质学报, 2001, 75(1): 56-63. Shao Ji'an, Liu Futian, Chen Hui, et al. Relationship between Mesozoic Magmatism and subduction in Da Hinggan-Yanshan Area[J]. Acta Geologica Sinica, 2010, 37(1): 48-55(in Chinese with English abstract).( 2) |
| [42] | 张宏, 权恒, 赵春荆, 等. 辽西-大兴安岭晚侏罗世-早白垩世火山岩形成动力学背景的新认识[J]. 地质论评, 1999, 45(增刊): 431-443. Zhang Hong, Quan Heng, Zhao Chunjing, et al. New viewpoints on the dynamic background of the J3-K1 volcanic rocks in Da Hinggan Mts. and Western Liaoning Provice[J]. Geological Review, 1999, 45(Supp.): 431-443(in Chinese with English abstract).( 1) |
| [43] | Larson R L, et al. The bedrock geology of the world[R]. 1985, New York: Freeman.( 1) |
| [44] | Zorin Y A. Geodynamics of the western part of the Mongolia-Okhotsk collisional belt, Trans-Baikal region (Russia) and Mongolia[J]. Tectonophysics, 1999, 306: 33-56.( 1) |
| [45] | Metelkin D V, Vemikovsky V A, Kazansky A Y, et al. Late Mesozoic tetonics of Central Asia based on paleomagnetic evidence[J]. Gondwana Research, 2010, 18(2/3): 400-419.( 1) |
| [46] | Pearce J A, Harris N B W, Tindle A G. Trace element discrimination diagrams for the tectonic interpretation of granitic rocks[J]. Journal of Petrology, 1984, 25: 956-983.( 2) |
| [47] | Batchelor R A, Bowden P. Petrogenetic interprelation of granitoid rock series using muhication[J]. Chemical Geology, 1985, 48(1): 43-55.( 2) |







1)