2. 中色地科矿产勘查股份有限公司, 北京 100012;
3. 中国地质大学, 北京 100083
2. Sinotech Mineral Exploration Co., Ltd., Beijing 100012, China;
3. China University of Geosciences, Beijing 100083, China
中国铅锌矿床资源丰富,分布区域较广,成矿条件优越,找矿潜力大。华北克拉通北缘是中国东部地区重要的铅锌成矿潜力接续区[1, 2, 3],该区不仅发育了重要的狼山—渣尔泰山铅锌铜成矿带,还产出大量浅成低温热液脉型、矽卡岩型铅锌银矿床。如在西拉木伦断裂的次级断裂少郎河断裂南侧,分布有硐子热液脉型铅锌矿、小营子矽卡岩型铅锌矿、西水泉热液脉型铅锌矿等大-中型矿床[4, 5],构成了重要的少郎河铅锌银成矿带[6]。长汉卜罗铅锌银矿床位于少郎河铅锌银成矿带西侧,硐子铅锌矿南部,是近几年发现的一中小型铅锌矿床,该矿床的发现预示着该区具有重大的铅锌成矿潜力,加强对该区矿床的基础地质、矿床成因机制等研究,对探索该区成矿规律和找矿预测具有重要意义。长汉卜罗铅锌矿体主要呈脉状产出,前人仅对其地质特征开展了相关工作[7, 8],但对该矿床的成矿流体性质及成矿机制缺乏认识。因此,本文拟在详细的地质特征研究基础之上,对长汉卜罗矿床矿化蚀变斑岩石英斑晶以及各种矿化脉体中的流体包裹体进行岩相学、显微测温和单个包裹体成分的激光拉曼分析,以揭示成矿流体特征及演化规律,探讨矿床成因机制,为认识区域上其他铅锌矿床的成矿过程提供一定的理论支撑。
1 区域地质长汉卜罗铅锌银矿床位于华北克拉通北缘的白乃庙岛弧,北为西拉木伦断裂,南为赤峰—白云鄂博断裂(图1)。华北克拉通为稳定于1.85 Ga的前寒武纪克拉通[9, 10],基底主要由强烈变质的太古宇和古元古界组成,部分被厚层的中—新元古界和古生界海相碎屑岩和碳酸盐岩所覆盖[11]。区域上出露地层主要有古生界上石炭统阿拉木组砂岩、安山岩, 下二叠统额里图组和于家北沟组砂岩、板岩、安山岩等沉积碎屑岩系; 中生界上侏罗统满克头鄂博组凝灰岩、角砾凝灰岩、熔结凝灰岩等火山-沉积岩系; 古近-新近系主要为气孔状、致密块状玄武岩夹泥岩。研究区褶皱构造表现不明显,断裂构造发育,区域断裂构造以EW和NE—NNE向为主。其中EW向断裂以赤峰—白云鄂博断裂最为重要,长约600 km,宽15~60 km,被认为是华北克拉通和兴蒙古生代造山带的构造分界[12, 13],其他EW向断裂如白乃庙弧北部的西拉木伦断裂、少郎河断裂等,它们对区域构造演化及成矿作用起着控制作用[12]。NE—NNE 向断裂主要发育在华北克拉通东北部, 如大兴安岭断裂、嫩江断裂等,它们边部的次级断裂是区内重要的控岩、控矿构造[14]。
|
图1 华北克拉通北缘地质简图及钼、铅锌矿床分布(底图据文献[11]; 图中矿床年龄值引自文献[15, 17, 18, 20] ) 矿床编号: 1—长汉卜罗; 2—硐子; 3—炮手营子; 4—山嘴子; 5—田椿沟; 6—西水泉; 7—小营子; 8—余家窝铺; 9—敖包山; 10—小东沟;11—红山子; 12—车户沟; 13—碾子沟; 14—元宝山; 15—鸡冠山 Fig.1 Geological sketch map of the northern margin of North China Craton,showing the location of major Mo and Pb-Zn deposits (after reference [11]. The ages of the deposits cited from references [15, 17, 18, 20]) Serial number of the deposit: 1-Changhanboluo; 2-Huanggutun; 3-Paoshouyingzi; 4-Shanzuizi; 5-Tianchungou; 6-Xishuiquan; 7-Xiaoyingzi;8-Yujiawopu; 9-Aobaoshan; 10-Xiaodonggou; 11-Hongshanzi; 12-Chehugou; 13-Nianzigou; 14-Yuanbaoshan; 15-Jiguanshan |
区域岩浆活动强烈,具有多期次、多旋回活动的特点。海西期侵入岩规模较小,主要岩性为闪长岩、花岗岩等; 印支期主要为花岗闪长岩、花岗岩等,多受近东西向构造控制; 燕山期主要有花岗斑岩、花岗闪长岩、石英闪长岩等,多呈NE、NNE向展布,与区域成矿关系密切。
该区金属矿床或矿点受区域构造控制明显,除形成少郎河铅锌银成矿带以外,还产出了小东沟、车户沟等钼矿,并构成西拉木伦钼铜多金属成矿带的一部分。该区钼铜多金属矿床的矿化类型主要有斑岩型(如小东沟、车户沟、鸡冠山、元宝山、红山子)[15, 16, 17, 18, 19]和石英脉型(如碾子沟)[20]等(图1),成矿与同期中酸性岩浆作用具有成因联系,成岩成矿主要集中在258~210 Ma、185~150 Ma 和140~110 Ma 这3 个时期,对应于造山后局部伸展、构造体系转折和陆内伸展3个过程[21]。
2 矿床地质长汉卜罗铅锌银矿床位于少郎河铅锌银成矿带西部。矿区内出露地层简单,主要为二叠系于家北沟组安山岩、安山玄武岩等,出露于矿区东北部;侏罗系满克头鄂博组岩屑晶屑凝灰岩、熔结凝灰岩等,广泛出露于矿区北西及中部; 中部出露有古近- 新近系汉诺坝组玄武岩夹泥质岩(图2-A)。在矿区西北部,物探磁异常解译出一环形构造,环内主要为古近-新近系玄武岩,环外为侏罗系岩屑晶屑凝灰岩、熔结凝灰岩等。矿区断裂构造发育,主要有EW、NW和NE 向3 组,其中EW向和NE 向断裂与成矿关系密切。矿区侵入岩主要为石英二长岩,呈岩基产出,自东向西超覆于矿区二叠系安山岩地层之上,钻孔中也显示出石英二长岩自东向西厚度逐渐变薄的特征; 另外,矿区尚发育少量二长斑岩脉, 主要沿北东向或东西向断裂、裂隙充填。在深部主要为安山岩,并有石英斑岩侵入到石英二长岩和安山岩之间(图2-B)。
|
图2 长汉卜罗铅锌银矿区地质图(A)及剖面图(B) Fig.2 Geological map (A) and geological section (B) of the Changhanboluo Pb-Zn-Ag ore field |
区内矿体均为隐伏产出,主要呈脉状、透镜状赋存于石英斑岩、石英二长岩、安山岩内及不同岩性接触带(图2-B)。矿体明显受断裂控制,倾向150o~180o,倾角52o~80o。长汉卜罗矿区矿石主要为铅锌银矿石。构造类型以块状、浸染状、条带状为主,少量网脉状、角砾状矿石。主要金属矿物有方铅矿、闪锌矿、黄铁矿,其次有黄铜矿、毒砂、白铁矿、深红银矿、黝铜矿等。非金属矿物主要有石英、绢云母、绿泥石、绿帘石、方解石等。
矿石结构主要有结晶结构、交代结构、固溶体分离结构、压力结构等。
结晶结构: 黄铁矿、毒砂等呈自形-半自形粒状结构(图3-A),在方铅矿中可见包含毒砂的包含结构(图3-A)。
|
图3 长汉卜罗铅锌银矿床矿石特征 A—黄铁矿、毒砂等呈自形-半自形粒状结构,在方铅矿中可见包含毒砂的包含结构,黄铁矿边部被闪锌矿交代;B—方铅矿边部被闪锌矿交代呈交代港湾状结构; C—方铅矿被黄铜矿、黝铜矿交代呈交代网脉结构; D—深红银矿交代方铅矿;E—黄铜矿呈乳滴状分布于闪锌矿中; F—黄铁矿压碎结构 矿物缩写: Apy—毒砂; Cpy—黄铜矿; Gn—方铅矿; Py—黄铁矿; Pyr—深红银矿; Sph—闪锌矿; Td—黝铜矿 Fig.3 Photographs showing ore characteristics of the Changhanboluo Pb-Zn-Ag deposit A-Pyrite and arsenopyrite with euhedral-subeuhedral granular texture; arsenopyrite included in galena; pyrite replaced by sphalerite;B-Galena replaced by sphalerite; C-Galena replaced by chalcopyrite and tetrahedrite; D-Galena replaced by pyrargyrite;E-Sphalerite containing chalcopyrite droplets,forming exsolution texture; F-Pyrite with cataclastic texture Abbreviations: Apy-Arsenopyrite; Cpy-Chalcopyrite; Gn-Galena; Py-Pyrite; Pyr-Pyrargyrite; Sph-Sphalerite; Td-Tetrahedrite |
交代结构: 自形黄铁矿边部被闪锌矿交代呈港湾状结构(图3-A),方铅矿边部被闪锌矿交代呈交代港湾状结构(图3-B),方铅矿被黄铜矿、黝铜矿交代呈交代网脉结构(图3-C),深红银矿交代方铅矿(图3-D)
固溶体分离结构: 黄铜矿呈乳滴状分布于闪锌矿中(图3-E)。
压力结构: 黄铁矿呈压碎结构,指示了早期的挤压构造作用(图3-F)。
围岩蚀变在矿体两侧较为发育,主要有硅化、黄铁矿化、绢云母化、绿泥石化、绿帘石化、碳酸盐化等,距离矿脉较远处,蚀变变弱。硅化、绢云母化主要表现为石英和绢云母呈细粒状或鳞片状交代原岩中的长英质矿物,在蚀变强烈的位置常见浸染状黄铁矿的出现,构成黄铁绢英岩化蚀变,该蚀变是矿区主要蚀变类型之一,与矿化关系最为密切。绿泥石化、绿帘石化等主要表现为绿泥石和绿帘石交代原岩中的黑云母、角闪石等暗色矿物或呈杏仁体存在,碳酸盐化表现为碳酸盐矿物交代原岩中的长石、镁铁质矿物等或呈细脉状穿插原岩。
根据矿脉穿插关系及矿物组合等,将成矿过程划分为早、中、晚3 个成矿阶段(图4)。早阶段为浸染状矿化,金属矿物组合主要为黄铁矿、闪锌矿,并有少量方铅矿(图4-A,D)。中阶段为多金属硫化物脉,该阶段又可细分为2 个亚阶段: ①石英-黄铁矿± 黄铜矿±毒砂亚阶段(Ⅰ),可见石英-黄铁矿±黄铜矿±毒砂脉穿插早阶段浸染状矿化体(图4-A),矿物组合主要为石英、黄铁矿、黄铜矿、毒砂,并有少量绢云母,黄铁矿、毒砂等呈较自形粒状分布于石英内(图4-A,E); ②石英-铅锌多金属硫化物亚阶段(Ⅱ),以多金属硫化物的大量产出为特征,是主要的铅锌银成矿阶段,可见石英-多金属硫化物脉穿插石英-黄铁矿±黄铜矿±毒砂脉(图4-B,F),矿物组合为石英、方铅矿、闪锌矿、黄铁矿、毒砂、黄铜矿、深红银矿、白铁矿等。晚阶段为石英-碳酸盐脉,以发育石英-方解石-黄铁矿或方解石细脉为特征,可见石英-碳酸盐脉切割早期矿脉(图4-C)。
|
图4 长汉卜罗铅锌银矿床脉系特征 A—中阶段(Ⅰ)石英-黄铁矿±黄铜矿±毒砂脉穿插早阶段浸染状矿化体; B—中阶段(Ⅱ)石英-多金属硫化物脉穿插中阶段(Ⅰ); C—晚阶段石英-碳酸盐脉穿插中阶段(Ⅱ); D—早阶段自形-半自形黄铁矿和闪锌矿; E—中阶段(Ⅰ)石英、黄铁矿、黄铜矿、毒砂共生; F—中阶段(Ⅱ)黄铁矿、方铅矿、闪锌矿共生 矿物缩写: Apy—毒砂; Cpy—黄铜矿; Gn—方铅矿; Py—黄铁矿; Sph—闪锌矿 Fig.4 The veins for fluid inclusion study of the Changhanboluo Pb-Zn-Ag deposit A-Early stage disseminated orebodies cut by middle stage (Ⅰ) quartz-pyrite±chalcopyrite±arsenopyrite veins; B-Middle stage (Ⅰ) cut by the middle stage (Ⅱ) quartz-polymetalllic sulfide veins; C-Middle stage (Ⅱ) cut by late stage quartz-carbonate veins; D-Euhedral-subeuhedral pyrite and sphaerite of early stage; E-Middle stage (Ⅰ) quartz coexistent with pyrite,chalcopyrite and arsenopyrite; F-Middle stage (Ⅱ) pyrite coexistent with galena and sphalerite Abbreviations: Apy-Arsenopyrite; Cpy-Chalcopyrite; Gn-Galena; Py-Pyrite; Sph-Sphalerite |
流体包裹体测试所选样品主要来自钻孔ZK003、ZK004、KZ302、ZK702 等,其中早阶段主要为浸染状矿化,样品选自矿化的石英斑岩,中阶段(Ⅰ)选自穿插浸染状矿化石英斑岩的石英-黄铁矿± 毒砂±黄铜矿脉,中阶段(Ⅱ)选自穿插石英-黄铁矿± 黄铜矿±毒砂脉的石英-多金属硫化物脉,晚阶段样品选自石英-碳酸盐脉。
流体包裹体测温分析是在有色金属矿产地质调查中心完成,实验仪器为英国Linkam THMS 600 型冷热台,测试温度范围是-196~+600℃,在-120~ -70℃测试精度为±0.5℃、-70~+100℃范围的测试精度为±0.2℃、>100℃时的测试精度为±2℃。测试过程中采用Wilkinson 总结的冷冻-加热法来记录相变温度点[22],升温速率一般为0.2~5℃/min,水溶液包裹体相变点附近的升温速率为0.2~0.5℃/ min。利用流体包裹体计算程序MacFlincor 对测试结果进行了数据计算[23]。
单个流体包裹体成分激光拉曼显微探针测试在中国科学院地质与地球物理研究所流体包裹体研究实验室完成,测试仪器型号为Ranishaw 公司的Raman-2000 型激光拉曼光谱仪,使用波长为514 nm 的氩激光器,光谱计数时间为10 s,每1 cm-1(波数)计数一次,100~4000 cm-1全波段取峰,激光束斑大小为1 μm,光谱分辨率为2 cm-1。
3.2 岩相学和包裹体类型根据包裹体在室温下的相态特征、包裹体加热过程中的相变和激光拉曼光谱分析结果,将其分为3种主要类型(图5)。
|
图5 长汉卜罗矿床流体包裹体岩相学特征 A—早阶段W型和C型包裹体共存; B—中阶段石英中W型包裹体; C—中阶段闪锌矿中W型包裹体; D—晚阶段方解石中W型包裹体 Fig.5 Photomicrographs of fluid inclusions in the Changhanboluo deposit A-Coexistence of W-type and C-type fluid inclusions of the early stage; B-W-type fluid inclusions of the middle stage; C-W-type fluid inclusions in sphalerite of the middle stage; D-W-type fluid inclusions in calcite of the late stage |
(1)气液两相水溶液包裹体(W型): 包裹体形态有椭圆形、长方形、三角形、负晶形及不规则多边形,大小介于6~24 μm,多数在10 μm左右,该类型包裹体在各阶段普遍发育,约占包裹体总数的90%。室温下由液相H2O及气相H2O组成,升温时均一到液相。
(2)含CO2三相包裹体(C 型): 包裹体多为椭圆形、长方形,大小8~20 μm,该类包裹体占包裹体总数的5%。室温下由液相盐水溶液和气相CO2组成, 降温过程中转变为液相CO2、气相CO2和液相盐水溶液组成的三相包裹体。CO2相占包裹体总体积的60%~90%,气体CO2 占CO2 相总体积的50%~80%, 升温时均一到气相。该类包裹体主要发育于浸染状多金属矿化阶段的石英斑晶中,沿石英中裂隙产出,为次生包裹体。
(3)纯液相包裹体(PW 型)。包裹体多为椭圆形,大小6~18 μm,该类包裹体占包裹体总数的5%, 室温下只有液相H2O组成,主要在中阶段和晚阶段发育。
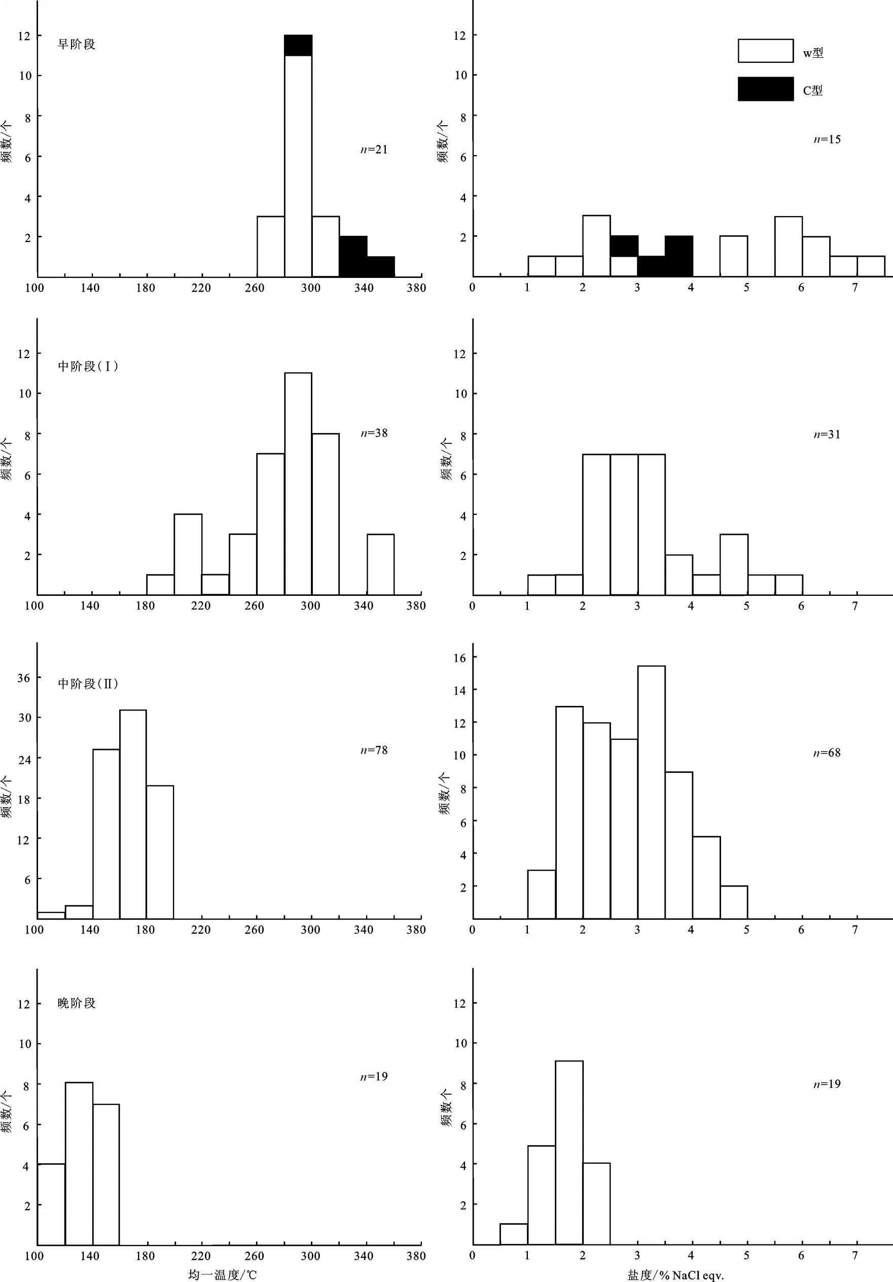
3.3 包裹体显微测温流体包裹体显微测温学结果及参数见表1 和图6和图7。
| 表1 长汉卜罗铅锌银矿床流体包裹体的显微测温结果 Table 1 Microthermometric data of fluid inclusions of the Changhanboluo Pb-Zn-Ag deposit |
|
图6 长汉卜罗矿床流体包裹体均一温度和盐度直方图 Fig.6 Histograms of salinities and homogenization temperatures of fluid inclusions in different stage minerals of the Changhanboluo deposit |
|
图7 长汉卜罗矿床流体包裹体温度-盐度相关图 Fig.7 Homogenization temperatures versus salinities of fluid inclusions in different stages of the Changhanboluo deposit |
石英斑岩为矿脉的主要赋矿围岩,岩石发生浸染状矿化,因此石英斑晶中的次生包裹体应该代表着早阶段的成矿流体特征。该阶段发育W型和C 型流体包裹体。W型包裹体的均一温度介于272℃ ~318℃,盐度介于1.40%~7.31% NaCl eqv.; C型包裹体笼合物消失温度介于8.0~8.5℃,完全均一温度介于297~349℃,盐度介于2.96%~3.52% NaCl eqv.。该阶段W型和C型包裹体共存,且共存的包裹体的均一温度相近,指示该阶段可能发生了沸腾作用。中阶段(Ⅰ)主要发育W型流体包裹体,均一温度介于198~348℃,盐度介于1.40%~5.86% NaCl eqv.。中阶段(Ⅱ)主要发育W型流体包裹体,均一温度为118~199℃,盐度为1.40%~4.80% NaCl eqv.,由此可见铅锌多金属矿化阶段温度显著降低,并集中于一很窄的温度区间。晚阶段主要发育W型流体包裹体,均一温度为106~157℃,盐度为0.88%~2.24% NaCl eqv.。与早、中阶段相比,温度与盐度均明显降低。
3.4 包裹体成分本次对长汉卜罗矿床中不同阶段流体包裹体进行了气相及液相成分的激光拉曼光谱峰值扫描, 部分谱图见图8。
|
图8 长汉卜罗矿床包裹体拉曼图谱 A—早阶段石英斑晶中包裹体气相中CO2、CH4和H2O; B—早阶段石英斑晶中包裹体液相中H2O、CO2; C—中阶段(Ⅰ)包裹体气相中CO2和H2O; D—中阶段(Ⅱ)包裹体气相中H2O Fig.8 Laser Raman spectra of fluid inclusions in the Changhanboluo deposit A-CO2, CH4 and H2O spectra of the vapor in quartz phenocryst of the early stage; B-H2O and CO2 spectra of the liquid in quartz phenocryst of the early stage; C-H2O and CO2 spectra of the vapor of the middle stage (Ⅰ); D-H2O spectra of the vapor of the middle stage (Ⅱ) |
早阶段石英斑晶中流体包裹体气相成分为CO2+CH4±H2O,液相成分中除了H2O之外,也含有少量CO2; 中阶段(Ⅰ),气相成分为CO2、H2O; 中阶段(Ⅱ),气相主要为H2O。CO2特征峰值为1286 cm-1、1386 cm-1,CH4特征峰值为2913 cm-1。可见从早阶段到晚阶段,流体系统的成分组成变的简单,CH4、CO2等气体逐渐逸失。
3.5 成矿流体压力及深度估算Roedder & Bodnar 研究认为[22],从均匀流体中捕获的包裹体的压力只能代表流体压力的下限,需要进行压力校正,但是当流体发生不混溶或沸腾作用时,捕获的包裹体的压力可代表流体的形成压力,无需校正。浸染状矿化阶段发育近纯CO2包裹体和低盐度(<5%NaCl eqv.)的水溶液包裹体,它们可分别代表近似纯CO2 体系和纯H2O 体系,据纯CO2包裹体的均一温度和均一相态,利用FLINCOR 软件求得4 个包裹体中纯CO2 的密度介于0.442~0.523 g/cm3。根据H2O-CO2体系的P-T 图解(图9), 获得浸染状矿化阶段流体的捕获温度为277℃~ 327℃,捕获压力为47~66 MPa。该阶段大致可用静岩压力(岩石密度为2.65 g/cm3)来估算成矿深度,对应的古深度为1.8 ~2.5 km。
|
图9 H2O-CO2体系的ρ-P-T 图解(底图据文献[24]) Fig.9 Relationship of density,pressure and temperature of H2O-CO2 system (after reference [24]) |
多金属硫化物阶段以发育W型包裹体为主,不发育C型包裹体,利用FLINCOR软件求得Ⅰ阶段流体密度介于0.630~0.885 g/cm3,压力介于1.3~15.4 MPa,本阶段可用静水压力(密度为1.0 g/cm3)来估算成矿深度,得出对应的古深度为0.1~1.5 km。同理得出Ⅱ阶段流体密度介于0.890~0.985 g/cm3,压力介于0.4~1.2 MPa,指示铅锌成矿阶段已接近地表, 成矿深度较浅。
4 年代学研究长汉卜罗矿床用于绢云母Ar-Ar 定年的样品采自近矿的蚀变围岩,样品发生了较为强烈的绢云母化蚀变。该样品的绢云母Ar-Ar 同位素分析结果列于表2。该样品从800℃至940℃的5 个连续加热阶段析出,形成较好的坪年龄,年龄值为(157.6±1.4) Ma (MSWD=1.01) (图10)。
| 表2 长汉卜罗矿床近矿蚀变岩中的绢云母Ar-Ar 定年数据 Table 2 Ar-Ar analytical results for sericite from the altered rocks close to the ore veins |
长汉卜罗矿床不同阶段流体包裹体类型、均一温度及盐度等既有相似性又存在差异,显示了成矿流体的规律性演化。浸染状矿化阶段中流体包裹体见W型和C 型,指示可能主要为岩浆热液,包裹体成分为CO2+CH4±H2O,成矿流体均一温度峰值为280~300℃,盐度峰值为2.0%~6.0% NaCl eqv.,具有中低温、低盐度特征; 多金属硫化物阶段(Ⅰ)中流体包裹体主要为W型,包裹体成分为CO2±H2O,成矿流体均一温度峰值为260℃~320℃,盐度峰值为2.0%~4.0% NaCl eqv.,具有低温、低盐度特征; 多金属硫化物阶段(Ⅱ)中流体包裹体主要为W型,包裹体成分为H2O,成矿流体均一温度峰值为140~ 200℃,盐度峰值为1.5%~4.0% NaCl eqv.,该阶段为铅锌主要成矿阶段。晚阶段成矿流体均一温度峰值为120℃ ~160℃ ,盐度峰值为1.0%~2.5% NaCl eqv.。由此可见,从早阶段到晚阶段,成矿流体的盐度随温度的降低而减小,指示可能有低温低盐度流体的不断加入,该流体最可能为大气降水[22]。前人研究也表明,在流体混合过程中捕获的流体包裹体,其均一温度与盐度在一定程度上表现为正相关关系[25],在流体演化图解上(图7),温度和盐度即呈正相关,也指示流体的混合作用。在成矿过程的早阶段可能发生了局部的沸腾作用,如在浸染状矿化阶段石英斑晶中可见C 型流体包裹体与W型流体包裹体共存且具有相似的均一温度,但不同的均一方向,在长汉卜罗矿床形成过程中,混合作用可能扮演了更为重要的角色。
5.2 成矿元素迁移及沉淀机制前人研究表明,成矿金属元素主要呈易溶络合物形式在热液中迁移,其中氯络合物和硫氢络合物是两种最重要络合物形式[26]。铅锌银等金属离子在高温高氧逸度偏酸性条件下主要以氯络合物的形式搬运,在中温高硫逸度偏碱性溶液中主要以硫氢络合物运移[27, 28, 29, 30, 31]。促使它们沉淀的机制主要有: 成矿热液与围岩的水-岩反应[32]; 流体沸腾或相分离[33, 34];不同流体的混合等[35, 36, 37, 38]。
|
图10 长汉卜罗近矿蚀变岩中的绢云母40Ar/39Ar坪年龄图解 Fig.10 Age spectra of sericite from the altered rocks close to the ore veins |
长汉卜罗多种硫化物及银矿物的产出表明,成矿流体为一富含Pb、Zn、Ag、Cu、Sb、As 等成矿元素的热液。成矿早阶段流体温度、盐度较高,Pb2+、Zn2+、Ag+等金属离子主要以氯络合物形式迁移[26]。早阶段的流体沸腾作用导致成矿元素沉淀,使得长汉卜罗石英斑岩体发生浸染状和网脉状矿化。另外流体沸腾爆破还导致深部断裂系统与地壳浅表裂隙系统贯通,流体压力快速减小导致CH4、CO2的大量释放,热液氧逸度降低和pH值升高,促使Ag+、Pb+、Zn+等金属离子的Cl-络合物解体并与HS-络合呈硫氢络合物迁移。随着成矿热液的继续向上运移,热液与浅源大气降水发生大规模混合,温度快速降低至200℃以下,Pb+、Zn+等金属离子的硫氢络合物解体,并在一较窄的温度范围区间发生铅锌等多金属硫化物的沉淀。
方铅矿、闪锌矿、黄铜矿和黄铁矿等硫化物的大量沉淀将使成矿热液中S2-急剧减少,促使水解反应HS-=S2-+H+向右进行,热液的pH值减小,加之温度的继续降低,导致Ag(HS)2 -的大量解体,成矿流体中开始出现较多的自由Ag+并逐渐达到饱和,Ag+开始与溶液内的Sb3+离子结合沉淀形成独立银矿物深红银矿, 或者与热液内Cu+、Sb3+、As3+等离子结合形成次显微银捕获在硫化物内(如黝铜矿、砷黝铜矿等)。
5.3 矿床成矿机制长汉卜罗铅锌银矿床受断裂控制,以脉状产出为主,铅锌银矿体主要赋存于石英斑岩以及石英斑岩与围岩接触带。早期石英斑岩内发生浸染状及网脉状铅锌矿化,在石英斑岩体内或附近还可见含矿的爆发角砾岩体,角砾岩中常具有铅锌矿化,可能是由于挥发分从岩浆中逸出而引起的膨胀造成的气爆作用形成,但这2 种类型矿化都没有形成具有经济价值的矿体,工业矿体还是主要以断裂控制的脉状矿体为主。
流体包裹体的研究揭示,流体混合作用可使成矿热液体系发生物理-化学参数的突变或临界转变,破坏溶液的化学平衡,促使某些化学反应的发生,从而产生矿物的沉淀[39]。长汉卜罗矿床蚀变矿物绢云母Ar-Ar 年龄为157 Ma,指示矿床的形成可能与晚侏罗世的岩浆热液活动相关。从早中侏罗世开始,华北克拉通北缘开始处于古亚洲洋构造域与古太平洋构造的转换体系中,受多个方向构造应力的影响,发育强烈的岩浆活动,并伴有大量多金属矿床的产出[14, 40]。该区在晚侏罗世伴随强烈的岩浆作用,逐渐分异、演化形成早期的成矿流体,携带大量成矿元素,沿着有利的构造部位逐渐上侵,当上侵到一定部位,与大气降水发生广泛的混合作用,导致含矿热液系统的状态发生改变,破坏原来的化学平衡,使得成矿物质发生沉淀而形成矿床。矿区存在大量断裂构造,为大气降水的加入提供了良好的通道,大气降水与岩浆热液的混合作用可能是长汉卜罗铅锌矿脉的主要形成机制。
6 结论(1)长汉卜罗铅锌银矿床位于华北克拉通北缘,矿体主要呈脉状、透镜状产于石英斑岩、石英二长岩、安山岩内及不同岩性接触带。成矿过程包括3 个阶段: 早阶段为浸染状矿化; 中阶段为多金属矿化阶段,其中又可分为石英-黄铁矿±黄铜矿±毒砂阶段(Ⅰ)和铅锌多金属硫化物阶段(Ⅱ); 晚阶段为石英-碳酸盐阶段。
(2)长汉卜罗矿床主要发育2 类流体包裹体,即水溶液型(W型)和H2O-CO2包裹体(C 型),激光拉曼显示早阶段和中阶段(Ⅰ)气相成分为CO2±CH4± H2O,中阶段(Ⅱ)和晚阶段气相成分为H2O。从早到晚,流体包裹体均一温度从272~349℃ ,经198~ 348℃,变化为118~199℃,最后变为106~157℃; 盐度从1.40% ~7.31% NaCl eqv.,经1.40% ~5.86% NaCl eqv.,变化为1.40%~4.80% NaCl eqv.,最后变为0.88%~2.24% NaCl eqv.,矿床总体属于低温低盐度热液矿床。
(3)流体包裹体研究结果表明,岩浆流体与大气降水的混合作用是形成长汉卜罗矿床的重要机制。
致谢: 感谢盛世莲花矿业有限责任公司李占龙教授级高级工程师、李占文矿长、杜中绪、姚宗国、王茂森、潘彦好、贾强、张志安、袁少华、贾志超等工程师的大力支持,感谢责任编辑杨艳博士及审稿专家对论文提出了宝贵修改意见,在此一并致以诚挚的谢意!
| [1] | 张长青, 芮宗瑶, 陈毓川, 等. 中国铅锌矿资源潜力和主要战略接续区[J]. 中国地质, 2013, 40(1): 248-272. Zhang Changqing, Rui Zongyao, Chen Yuchuan, et al. The main successive strategic bases of resources for Pb-Zn deposits in China[J]. Geology in China, 2013, 40(1): 248-272(in Chinese with English abstract).( 1) |
| [2] | 李紫烨, 刘晓雨, 李随民, 等. 承德牛圈银金多金属矿床硫化物Rb -Sr 年龄和成矿物质来源分析[J]. 中国地质, 2014, 41(3): 951-960. Li Ziye, Liu Xiaoyu, Li Suimin, et al. An analysis of geological age and materials source of the Niujuan Ag-Au polymetallic deposit in Chengde[J]. Geology in China, 2014, 41(3): 951-960(in Chinese with English abstract). 图10 长汉卜罗近矿蚀变岩中的绢云母40Ar/39Ar坪年龄图解 Fig. 10 Age spectra of sericite from the altered rocks close to the ore veins 第43卷第2 期解洪晶等:内蒙古长汉卜罗铅锌银矿床流体包裹体研究543 http://geochina.cgs.gov.cn 中国地质, 2016, 43(2)( 1) |
| [3] | 李随民, 魏明辉, 李森文, 等. 张家口梁家沟铅锌银矿床Rb-Sr 和 Sm-Nd 等时线年龄及其地质意义[J]. 中国地质, 2014, 41(2): 529-539. Li Suimin, Wei Minghui, Li Senwen, et al. Rb-Sr and Sm-Nd isochron ages of the Liangjiagou Pb-Zn-Ag ore deposit in Chicheng County of Zhangjiakou City and their geological implications[J]. Geology in China, 2014, 41(2): 529-539(in Chinese with English abstract).( 1) |
| [4] | 陈毓川, 薛春纪, 王登红, 等. 华北陆块北缘区域矿床成矿谱系探讨[J]. 高校地质学报, 2003, 9(4): 520-535. Chen Yuchuan, Xue Chunji, Wang Denghong, et al. A discussion on the regional mineralizing pedigree of the ore deposits in the northern margin of the North China Landmass[J]. Geological Journal of China Universities, 2003, 9(4): 520-535(in Chinese with English abstract).( 1) |
| [5] | 唐永章. 内蒙古翁牛特旗硐子铅锌矿地质特征及矿床成因[J]. 内蒙古科技与经济, 2013, 2: 45-49. Tang Yongzhang. Geological characteristics and genesis of the Dongzi Pb-Zn deposit, Ongniud Bannar, Inner Mongolia[J]. Inner Mongolia Science Technology and Economy, 2013, 2: 45-49(in Chinese with English abstract).( 1) |
| [6] | 芮宗瑶, 施林道, 方如恒, 等. 华北陆块北缘及邻区有色金属矿床地质[M]. 北京: 地质出版社, 1994: 364-382 Rui Zongyao, Shi Lindao, Fang Ruheng, et al. Geology of non-ferrous deposits in north margin of the North China Craton and its adjacent areas[M]. Beijing: Geological Publishing House, 1994: 364-382 (in Chinese with English abstract).( 1) |
| [7] | 解洪晶, 王玉往, 蒋炜, 等. 内蒙古长汉卜罗铅锌银矿床地质特征及成因探讨[J]. 矿产勘查, 2014, 5(2): 224-232. Xie Hongjing, Wang Yuwang, Jiang Wei, et al. Geological characteristics and discussion on genesis of the Changhanboluo Pb- Zn-Ag deposit, Inner Mongolia[J]. Mineral Exploration, 2014, 5 (2): 224-232(in Chinese with English abstract).( 1) |
| [8] | 蒋炜, 林龙军, 张云国, 等. 内蒙古长汉卜罗银铅锌矿床地质特征及找矿方向[J]. 矿产与地质, 2014, 28(4): 443-448. Jiang Wei, Lin Longjun, Zhang Yunguo, et al. Geological characteristics and prospecting direction of Changhanboluo Ag-Pb -Zn deposit in Inner Mongolia[J]. Mineral Resources and Geology, 2014, 28(4): 443-448(in Chinese with English abstract).( 1) |
| [9] | Zhao G C, Wilde S A, Cawood P A, et al. Archean blocks and their boundaries in the North China craton: lithological, geochemical, structural and P-T path constraints and tectonic evolution[J]. Precambrian Research, 2001, 107: 45-73.( 1) |
| [10] | Wilde S A, Zhao G C, Sun M. Development of the North China craton during the Late Archaean and its final amalgamation at 1.8 Ga; some speculations on its position within a global Palaeoproterozoic supercontinent[J]. Gondwana Research, 2002, 5: 85-94.( 1) |
| [11] | Liu J M, Zhao Y, Sun Y L, et al. Recognition of the latest Permian to Early Triassic Cu-Mo mineralization on the northern margin of the North China block and its geological significance[J]. Gondwana Research, 2010, 17: 125-134.( 3) |
| [12] | Davis G A, Darby B J, Zheng Y D, et al. Geometric and temporal evolution of an extensional detachment fault, Hohhot metamorphic core complex, Inner Mongolia, China[J]. Geology, 2002, 30: 1003-1006.( 2) |
| [13] | Xiao W J, Windley B F, Hao J, et al. Accretion leading to collision and the Permian Solonker suture, Inner Mongolia, China: termination of the central Asian orogenic belt[J]. Tectonics, 2003, 22: 1484-1505.( 1) |
| [14] | 张连昌, 吴华英, 相鹏, 等. 中生代复杂构造体系的成矿过程与成矿作用-以华北大陆北缘西拉木伦钼铜多金属成矿带为例[J]. 岩石学报, 2010, 26(5): 1351-1362. Zhang Lianchang, Wu Huaying, Xiang Peng, et al. Ore-forming processes and mineralization of complex tectonic system during the Mesozoic: A case from Xilamulun Cu-Mo metallogenic belt[J]. Acta Petrologica Sinica, 2010, 26(5): 1351-1362(in Chinese with English abstract).( 2) |
| [15] | 聂凤军, 张万益, 杜安道, 等. 内蒙古小东沟斑岩型钼矿床辉钼矿铼-锇同位素年龄及地质意义[J]. 地质学报, 2007, 81(7): 898-905. Nie Fengjun, Zhang Wanyi, Du Andao, et al. Re-Os isotopic dating on molybdenite separates from the Xiaodonggou porphyry Mo deposit, Hexigten Qi, Inner Mongolia[J]. Acta Geologica Sinica, 2007, 81(7): 898-905(in Chinese with English abstract).( 3) |
| [16] | 覃锋, 刘建明, 曾庆栋, 等. 内蒙古小东沟斑岩型钼矿床的成矿时代及成矿物质来源[J].现代地质, 2008, 22(2): 173-180. Qin Feng, Liu Jianming, Zeng Qingdong, et al. The metallogenic epoch and source of ore froming materials of the Xiaodonggou porphyry molybdenum deposit, Inner Mongolia[J]. Geoscience, 2008, 22(2): 173-180(in Chinese with English abstract).( 1) |
| [17] | Wan B, Hegner E, Zhang L C, et al. Rb-Sr geochronology of chalcopyrite from the Chehugou porphyry Mo-Cu deposit (Northeast China) and geochemical constraints on the origin of hosting granites[J]. Economic Geology, 2009, 104: 351-363.( 3) |
| [18] | Wu H Y, Zhang L C, Wan B, et al. Re-Os and 40Ar/39Ar ages of the Jiguanshan porphyry Mo deposit, Xilamulun metallogenic belt, NE China, and constraints on mineralization events[J]. Mineralium Deposita, 2011, 46: 171-185.( 3) |
| [19] | 刘帅, 郗爱华, 葛玉辉, 等. 内蒙古赤峰鸡冠山含钼矿杂岩体的地球化学特征[J]. 中国地质, 2014, 41(1): 79-91. Liu Shuai, Xi Aihua, Ge Yuhui, et al. Geochemical characteristics of the Jiguanshan molybdenum ore-bearing complex in Chifeng, Inner Mongolia[J]. Geology in China, 2014, 41(1): 79-91(in Chinese with English abstract).( 1) |
| [20] | 张作伦, 曾庆栋, 屈文俊, 等. 内蒙碾子沟钼矿床辉钼矿Re-Os 同位素年龄及其地质意义[J]. 岩石学报, 2009, 25(1): 212-218. Zhang Zuolun, Zeng Qingdong, Qu Wenjun, et al. The molybdenite Re-Os dating from the Nianzigou Mo deposit, Inner Mongolia and its geological significance[J]. Acta Petrologica Sinica, 2009, 25(1): 212-218(in Chinese with English abstract).( 3) |
| [21] | Zhang L C, Wu H Y, Wan B, et al. Ages and geodynamic settings of Xilamulun Mo-Cu metallogenic belt in north of North China Craton[J]. Gondwana Research, 2009, 16: 243-254.( 1) |
| [22] | Wilkinson J J. Fluid inclusions in hydrothermal ore deposits[J]. Lithos, 2001, 55: 229-272.( 3) |
| [23] | Brown P E, Hagemann S G. MacFlinCor and its application to fluids in Archean lode-gold deposits[J]. Geochimica et Cosmochimica Acta, 1995, 59(19): 3943-3952.( 1) |
| [24] | Roedder E, Bodnar R J. Geologic pressure determinations from fluid inclusion studies[J]. Annual Review of Earth and Planetary Sciences, 1980, 8: 263-301.( 2) |
| [25] | Shepherd T J, Rankin A H, Alderton D H M. A Practical Guide to Fluid Inclusion Studies[M]. Blackie: Chapman & Hall, 1985: 1-239.( 1) |
| [26] | Barnes H L. Solubilities of ore minerals[C]//Barnes H L (eds.). Geochemistry of Hydrothermal Ore Deposits[M]. J Wiley & Sons, 1979: 404-459.( 2) |
| [27] | Anderson G M. The hydrothermal transport and deposition of galena sad sphalerite near 100° C[J]. Economic Geology, 1973, 68I: 480-492.( 1) |
| [28] | Seward T M. The formation of Pb (T) chloride complexes to 300° C: A speetrophotometric Study[J]. Geochim et Cosmochimica Acta, 1984, 48: 121-134.( 1) |
| [29] | Ruaya J R, Seward T M. The stability of chloride zinccomplexes in hydrothermal solutions up to 350 ℃ [J]. Geochimica et Cosmochimica Acta, 1986, 71: 655-673.( 1) |
| [30] | Hayashi K, Sugaki A, Kitakaze A. Solubility of sphalerite in aqueous sulfide solutions at temperatrues between 25 and 240℃[J]. Geochimica et Cosmochimica Acta, 1990, 54(3): 715-725.( 1) |
| [31] | Stefansson A, Seward T M. Experimental determination of the stability and stoichiometry of sulphide complexes of silver in hydrothermal solutions to 400° C [J]. Geochimica et Cosmochimica Acta, 2003, 67(7): 1395-1413.( 1) |
| [32] | Zoheir B A. Characteristics and genesis of shear zone-related gold mineralization in Egypt: A case study from the Um EI Tuyor mine, south Eastern Desert[J]. Ore Geology Reviews, 2008, 34 (3): 445-470.( 1) |
| [33] | Han J S, Yao J M, Chen H Y, et al. Fluid inclusion and stable isotope study of the Shagou Ag-Pb-Zn deposit, Luoning, Henan Province, China: Implicaiions for the genesis of an orogenic lode Ag-Pb-Zn system[J]. Ore Geology Reviews, 2014, 62: 199-210.( 1) |
| [34] | Shu Q H, Lai Y, Sun Y, et al. Ore genesis and hydrothermal evolution of the Baiyinnuo'er zinc-lead skarn deposit, northeast China: evidence from isotopes (S, Pb) and fluid inclusion[J]. 2013, 108: 835-860( 1) |
| [35] | Zacharisas J, Paterova B, Pudilova M. Mineralogy, fluid inclusion and stable isotope constraints on the genesis of the Roudny Au-Ag deposit, Bohemian Massif[J]. Economic Geology, 2009, 104: 53-72.( 1) |
| [36] | Zhai D G, Liu J J, Wang J P, et al. Fluid evolution of the Jiawula Ag-Pb-Zn deposit, Inner Mongolia: mineralogical, fluid inclusion, and stable isotopic evidence[J]. International Geology Review, 2013, 55(2): 204-224.( 1) |
| [37] | Ouyang H G, Mao J W, Santosh M. Anatomy of a large Ag-Pb-Zn deposit in the Great Xing'an Range, northeast China: Metallogeny associated with Early Cretaceous magmatism[J]. International Geology Review[J], 2013, 55(4): 411-429.( 1) |
| [38] | Zhou J X, Huang Z L, Bao G P. Geological and sulfur-leadstrontium isotopic studies of the Shaojiwan Pb-Zn deposit, southwest China: Implications for the origin of hydrothermal fluids[J]. Journal of Geochemical Exploration, 2013, 128: 51-61.( 1) |
| [39] | 张德会. 流体的沸腾和混合在热液成矿中的意义[J]. 地球科学进展, 1997, 12(6): 546-552. Zhang Dehui. Some new advances in ore-forming fluid geochemistry on boiling and mixing of fluids during the process of hydrothermal deposits[J]. Advance in Earth Sciences, 1997, 12 (6): 546-552(in Chinese with English abstract).( 1) |
| [40] | 毛景文, 谢桂青, 张作衡, 等. 中国北方中生代大规模成矿作用的期次及其地球动力学背景[J]. 岩石学报, 2005, 21(1): 169-188. Mao Jingwen, Xie Guiqing, Zhang Zuoheng, et al. Mesozoic large-scale metallogenic pulses in North China and corresponding geodynamic setting[J]. Acta Petrologica Sinica, 2005, 21(1): 169-188(in Chinese with English abstract).( 1) |





1)